高能物理团队在(类)粲偶素研究中取得重要进展
粲偶素是由一对正反粲夸克组成的束缚态,自从1974年第一个粲偶素粒子J/psi在实验上被发现以来,由此掀起了对于粲偶素研究的热潮。粲偶素能区位于微扰-非微扰过渡区域,对于理解强相互作用的行为非常重要。目前质量在粲介子对DD-bar产生阈值之下的所有粲偶素都已被发现,并且可以很好地被传统夸克模型所解释。但是,在DD-bar阈值之上仍有很多被模型预测却尚未被发现的粲偶素,并且在这个能区,实验上也发现了一系列不能由传统夸克模型所解释的类粲偶素XYZ粒子,这使得目前DD-bar阈值之上(类)粲偶素能谱的研究非常混乱,仍有很多问题尚未得到解决。基于此,公司高能物理团队张杰磊副教授等利用北京谱仪BESIII的实验数据对部分(类)粲偶素粒子psi_2(3823)、X(3872)、Zc(4020)等进行了相关研究。
一、寻找psi_2(3823)新的衰变模式
psi_2(3823)粒子存在的证据首次在Belle实验上观测到,之后BESIII实验在e+e-->pi+pi-psi_2(3823)过程中报告了这个粒子的发现。这个粒子被认为是粲偶素psi(1 3D2)很好的候选者,很多理论模型也对这个粒子进行了计算,但目前关于这个粒子研究的实验信息还比较匮乏。最近,公司张杰磊副教授利用BESIII在4GeV以上能区采集的实验数据对psi_2(3823)的七个衰变模式(gamma chi_c0,1,2, pi+pi-/pi0pi0/eta/pi0 J/psi)进行了寻找与研究,首次发现了衰变过程psi_2(3823)->gamma chi_c2存在的证据,以更高显著性重新发现了过程psi_2(3823)->gamma chi_c1,未观测到其它过程存在的信号。其中,对于psi_2(3823)->gamma chi_c2的测量结果与理论计算一致,但对于psi_2(3823)->pi+pi-J/psi的测量结果与理论计算并不符合,需要理论进一步的研究。除此之外,研究中也首次发现了过程e+e-->pi0pi0psi_2(3823)存在的证据,测量结果与同位旋对称性的预期是一致的。该工作近期以“Search for new decay modes of the psi_2(3823) and the process e+e-->pi0pi0psi_2(3823)”为题以Letter形式发表在国际权威期刊Physical Review D上(论文链接:https://doi.org/10.1103/PhysRevD.103.L091102)。

图1:psi_2(3823)的七个衰变模式和过程e+e-->pi0pi0psi_2(3823)的不变质量谱
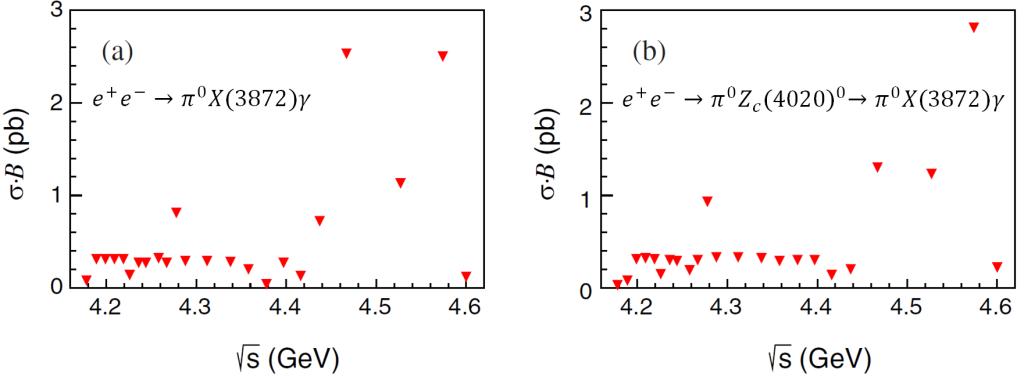
二、e+e-->pi0X(3872)gamma的研究和Zc(4020)->X(3872)gamma的寻找
X(3872)是第一个被发现的类粲偶素粒子,时至今日人们对它的性质仍不清楚。其中,X(3872)的质量与DD*阈值之差是帮助理解X(3872)性质的一个重要物理量,但目前的实验测量误差还比较大,不足以判断X(3872)质量是在DD*阈值之上还是阈值之下,有理论预言可以通过e+e-->pi0X(3872)gamma过程中的X(3872)gamma谱形精确的得出这个差值。并且,该过程也可以用来寻找Zc(4020)->X(3872)gamma衰变,帮助定量研究X(3872)和Zc(4020)的分子态图像模型。近日,公司硕士研究生朱腾蛟同学在导师张杰磊副教授的指导下,利用BESIII在4GeV以上能区采集的实验数据首次研究了过程e+e-->pi0X(3872)gamma,并在此过程中首次寻找了衰变Zc(4020)->X(3872)gamma。受限于目前实验数据的统计量,并没有观测到这两个过程显著的信号,因此给出了截面和分支比比值的上限测量结果。该实验测量结果与目前的理论预测结果并不冲突,需要更大统计量的实验数据来进一步检验理论模型,这个有可能在未来的超级陶-粲装置上被实现。该工作近期以“Study of e+e-->pi0X(3872)gamma and search for Zc(4020)->X(3872)gamma”为题发表在国际权威期刊Physical Review D上(论文链接:https://doi.org/10.1103/PhysRevD.104.012001)。

图2:e+e-->pi0X(3872)gamma和e+e-->pi0Zc(4020)->pi0X(3872)gamma的实验上限测量结果
上述两个工作得到了国家自然科学基金青年基金项目及yl23455永利南湖青年学者计划的资助,同时得到了中国科公司高能物理研究所王至勇、张景芝研究员的指导和帮助。
北京谱仪BESIII实验是目前世界上唯一一台运行在陶-粲能区的正负电子对撞机实验,目前共有来自17个国家80个成员单位的约500名科学家参加。yl23455永利作为BESIII实验的成员单位之一,在BESIII的数据质量检查、物理分析等方面做出了重要的贡献。


